RME Babyface Pro - мощность выходного сигнала на мониторы / лимитирование (1 онлайн

  • Автор темы Автор темы jazzfan
  • Дата начала Дата начала
-я вам там в личке ответил ( по моему вам) если не трудно окончательный вариант сюда выложите , чтобы народу
понятно было
 
для симметричного соединения делитель можно выполнить по такой схеме
[DOUBLEPOST=1488276406][/DOUBLEPOST]номиналы резисторов подбираются в соответствии с желаемым ослаблением ---например 10к и 1к это в одинадцать раз
[DOUBLEPOST=1488276549][/DOUBLEPOST]суммарное сопротивление делителя 5к-10к
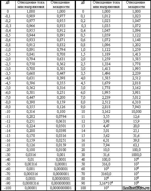
[DOUBLEPOST=1488276658][/DOUBLEPOST]коэффициент деления переводим в дб
 

Вложения

  • i.jpg
    i.jpg
    29,5 KB · Просмотры: 242
  • 56380482.jpg
    56380482.jpg
    104,4 KB · Просмотры: 252
  • Like
Реакции: VR.j и inde
схему можно изменить ----вместо двух резисторов меньшего номинала(которые к земле ) ставить один 2к между сигнальными проводами
 
Добрый вечер, подскажите, как мне делителем (резисторами) ослабить -14db в симметричном подключении по xlr? Нужно соединить dac и мониторы. Вопрос, какие выбрать резисторы (фирма, сопротивление и т.д.), схему распайки которая выше можно использовать?
 
-- Схему - в принципе, можно, но там одна лишняя деталь.
Чтобы правильно рассчитать сопротивления на точно 14 дб - нужно знать
входное сопротивление того устройства, куда будет подаваться сигнал.
 
  • Like
Реакции: The Patient Zero
@Long, из цап выход симметрия xlr +14dbu (202й)
Вход в саб dynaudio bm9s mkll по xlr без регулировки чувствительности на нем (в нем есть регулировка громкости, но только самого саба, следовательно в мониторы прямиком через хайпас без регулировки по уровню), из саба в мониторы dynaudio lyd на мониторах -6db чувствительность. Спасибо.
[DOUBLEPOST=1500314129][/DOUBLEPOST]
-- Схему - в принципе, можно, но там одна лишняя деталь.
какая такая деталь? :)
 

Сейчас просматривают